Physics of Mechanical Loss in Thin Films

The fluctuation-dissipation theorem (Callen & Welton 1951) connects mechanical dissipation to Brownian displacement noise. In LIGO, a few micrometers of amorphous dielectric coating dominates the noise budget of a 4-km interferometer across 50–300 Hz. The loss angle $\phi \sim 4 \times 10^{-4}$ in tantala coatings means one part in 2,500 of stored elastic energy dissipates per cycle. Where does that energy go?

This page is about the physics of that dissipation — the microscopic mechanisms, the evidence for them, and what would need to change to reduce $\phi$ by a factor of 100. The treatment is at a graduate-student level, anchored by the foundational reviews of Phillips (Rep. Prog. Phys. 1987) and Pohl, Liu & Thompson (Rev. Mod. Phys. 2002). The focus is on Brownian noise — mechanical dissipation — not thermo-optic noise.

For measurement techniques and detector impact, see the Coating Thermal Noise page.

Contents:


Anomalous properties of amorphous solids

The story begins with a set of experimental observations that, taken together, constitute a long-standing puzzle in condensed matter physics.

In 1971, Zeller and Pohl published systematic measurements of the thermal properties of vitreous silica and other amorphous solids below 1 K. What they found contradicted the textbook predictions for crystalline solids:

  • Specific heat: $C \propto T$ below ~1 K, instead of the Debye $C \propto T^3$ expected for a crystalline lattice. Something besides phonons was storing thermal energy.
  • Thermal conductivity: $\kappa \propto T^2$, instead of $\kappa \propto T^3$. Phonons were being scattered by something with a constant density of states.
  • Plateau in $\kappa(T)$: Near 10 K, the thermal conductivity levels off before resuming its increase — a feature absent in crystals.
  • Acoustic attenuation: Nearly frequency-independent internal friction at audio frequencies, with a magnitude far exceeding anything attributable to phonon-phonon scattering.

The most remarkable aspect is the universality of these anomalies. They appear in chemically diverse glasses — vitreous silica, metallic glasses, polymers, chalcogenides, amorphous semiconductors. Pohl, Liu & Thompson (Rev. Mod. Phys. 2002) compiled data from more than 60 compositions spanning 9 orders of magnitude in measurement frequency. They found that the dimensionless tunneling strength

\[C_\text{TLS} = \frac{\bar{P}\gamma^2}{\rho v^2}\]

falls in a narrow range $10^{-4}$–$10^{-3}$ for virtually all amorphous solids, where $\bar{P}$ is the density of tunneling states, $\gamma$ is the deformation potential coupling TLS to strain, $\rho$ is the mass density, and $v$ is the sound velocity. Chemically unrelated materials — with different bonding, different densities, different glass transition temperatures — all show essentially the same tunneling strength. This universality remains one of the least understood results in the field.

Tunneling strengths across representative amorphous materials
Material $C_\text{TLS}$ Reference
Vitreous SiO₂ $2.7 \times 10^{-4}$ Pohl et al. 2002
BK7 borosilicate glass $3.1 \times 10^{-4}$ Pohl et al. 2002
a-Se $2.8 \times 10^{-4}$ Pohl et al. 2002
PMMA (polymethyl methacrylate) $3.5 \times 10^{-4}$ Pohl et al. 2002
Pd₇₇.₅Cu₆Si₁₆.₅ (metallic glass) $3.6 \times 10^{-4}$ Pohl et al. 2002
a-SiO (evaporated) $5.0 \times 10^{-4}$ Pohl et al. 2002
Polystyrene $2.3 \times 10^{-4}$ Pohl et al. 2002
Mylar (PET) $4.0 \times 10^{-4}$ Pohl et al. 2002
Suprasil W (fused silica) $2.9 \times 10^{-4}$ Pohl et al. 2002

Values are approximate, extracted from compiled measurements below ~1 K. The striking feature is that $C_\text{TLS}$ varies by less than a factor of 3 across materials whose other properties differ by orders of magnitude.


The tunneling model

The standard tunneling model (STM) was proposed independently by Anderson, Halperin & Varma (Phil. Mag. 1972) and Phillips (J. Low Temp. Phys. 1972). It remains, fifty years later, the dominant framework for understanding low-temperature anomalies in glasses.

The double-well potential

The central idea is that an atom or small group of atoms in a disordered solid can sit in a local potential energy landscape with two nearby minima — a double-well potential. The particle can occupy either well and, at low temperatures, can tunnel quantum-mechanically between them.

The double well is characterized by three parameters:

  • $\Delta$ — the asymmetry energy (energy difference between the two well minima)
  • $V$ — the barrier height separating the two wells
  • $d$ — the spatial separation between the two configurations

Quantum tunneling through the barrier gives a tunnel splitting:

\[\Delta_0 = \hbar\Omega \, e^{-\lambda}, \qquad \lambda = \frac{d}{\hbar}\sqrt{2mV}\]

where $\Omega$ is the attempt frequency in a single well and $m$ is the effective mass of the tunneling entity. The total energy splitting between the two eigenstates of the double well is:

\[E = \sqrt{\Delta^2 + \Delta_0^2}\]
Double-well potential modeling a TLS showing asymmetry energy epsilon, tunneling rate Delta-zero, energy splitting E, and ground and excited eigenstates
Double-well potential modeling a TLS. The asymmetry energy ε and inter-well tunneling rate Δ₀ determine the energy splitting E between eigenstates |ψ₊⟩ and |ψ₋⟩. (Müller, Cole & Lisenfeld, Rep. Prog. Phys. 2019; Fig. 2)

For a nearly symmetric well ($\Delta \approx 0$), the splitting is dominated by the tunneling element $\Delta_0$. For a strongly asymmetric well ($\Delta \gg \Delta_0$), the eigenstates are localized in one well and tunneling is suppressed.

The key assumption

The power of the STM lies in a single, sweeping statistical assumption: the joint distribution of asymmetry energies and tunneling parameters is flat:

\[P(\Delta, \lambda) = \bar{P} = \text{const}\]

over a broad range of both variables. This means there is no preferred energy scale, no characteristic barrier height, no special tunneling rate — the landscape of double wells is featureless and structureless.

From this single assumption, with no material-specific parameters beyond $\bar{P}$ (the spectral density of TLS) and $\gamma$ (the deformation potential), the STM explains:

  • Linear specific heat: The density of TLS at energy $E$ is approximately $n(E) \approx \bar{P}$, independent of energy. Integrating the Schottky specific heat of each two-level system gives $C \propto T$.
  • $T^2$ thermal conductivity: TLS resonantly scatter phonons with a cross-section that increases with frequency, giving a phonon mean free path $l \propto 1/\omega$. Integrating over the thermal phonon distribution yields $\kappa \propto T^2$.
  • Logarithmic time dependence: After a perturbation, the broad distribution of relaxation times (exponentially distributed via $\lambda$) produces strain relaxation that is logarithmic in time — $\epsilon(t) \propto \ln(t)$.

What $\bar{P}$ means physically

The quantity $\bar{P}$ is the density of two-level systems per unit energy per unit volume. Typical values extracted from low-temperature measurements are $\bar{P} \sim 10^{44}$–$10^{46}$ J⁻¹ m⁻³ (Phillips 1987). This is an enormous number, reflecting the high density of nearly degenerate configurations in a disordered solid.

At room temperature, TLS with $E \sim k_BT \approx 25$ meV are thermally active. These correspond to double wells with barrier heights of order 0.1–1 eV and involve collective motions of roughly 10–100 atoms (see next section). At cryogenic temperatures ($T \sim 1$ K, $E \sim 0.1$ meV), much lower-barrier defects contribute — these involve fewer atoms and are more localized.


What are TLS microscopically?

This is the central open question. The tunneling model is phenomenological — it says nothing about which atoms move or how. Fifty years after the model was proposed, the microscopic identity of TLS in most glasses remains uncertain. This section reviews what is known from simulations, experiments on specific materials, and the broader theoretical landscape.

Proposed microscopic mechanisms for TLS in amorphous materials: tunneling atoms, collective motion, dangling bonds, and hydrogen rotors
Proposed microscopic mechanisms for TLS in amorphous materials: tunneling of single atoms, collective motion of small atomic groups, dangling bonds, and hydrogen defects. (Müller, Cole & Lisenfeld, Rep. Prog. Phys. 2019; Fig. 3)

Molecular dynamics evidence in silica

Atomistic simulations of amorphous SiO₂ have made the most progress in identifying TLS candidates. Damart & Rodney (Phys. Rev. B 97, 014201, 2018) explored the potential energy landscape of over 100 independently generated glass samples, using the activation-relaxation technique (ART nouveau) to systematically search for double-well configurations. Key findings:

  • TLS are not single-atom hops. They involve quasi-1D chains of Si–O–Si bond rotations and ring rearrangements extending over 1–3 nm.
  • Barrier heights cluster around 0.1–0.5 eV for the TLS relevant at room temperature.
  • The rearrangements are collective — typically 10–50 atoms participate in the transition, but only 3–5 move significantly (by more than ~0.1 Å).
  • The density of identified TLS is consistent with the phenomenological $\bar{P}$ values extracted from macroscopic measurements — an important validation of the tunneling model.

TLS in tantala (Ta₂O₅)

Tantala is the high-index coating material that dominates LIGO’s thermal noise budget, so identifying its TLS is of direct practical importance.

The amorphous structure of Ta₂O₅ is built from TaO₆ and TaO₇ polyhedra connected by kinked Ta–O–Ta backbone chains. Unlike tetrahedral SiO₂, where the primary structural unit (the SiO₄ tetrahedron) is rigid and the flexibility comes from inter-tetrahedral angles, tantala’s polyhedra themselves can distort. Molecular dynamics simulations of amorphous oxides — including compositions relevant to tantala — have identified two classes of structural transition common in glass-forming networks:

  • Cage-breaking transitions: Large rearrangements where an atom escapes its coordination cage, creating a new local topology. These have higher energy barriers and are responsible for loss at higher temperatures.
  • Non-cage-breaking transitions: Subtle bond-angle and dihedral rotations within intact coordination polyhedra. These have lower barriers and are responsible for the loss peak observed near 40 K in ring-down measurements (Martin et al., CQG 25, 055005, 2008).

The prevalence of non-cage-breaking transitions in tantala — occurring within the flexible TaO₆/TaO₇ polyhedra — may explain why tantala has higher mechanical loss than silica, where the rigid SiO₄ tetrahedra constrain most internal rearrangements.

The medium-range order connection

Across many amorphous compositions, a consistent empirical pattern has emerged: films with more medium-range order (more regular ring statistics, more extended structural correlations beyond the nearest-neighbor shell) show fewer TLS and lower mechanical loss. This correlation has been documented through comparisons of Raman spectroscopy, X-ray pair distribution functions, and mechanical Q measurements.

This is why annealing works: thermal energy allows the atomic network to relax toward a lower-energy topology with fewer metastable double wells. It is also why deposition conditions matter — films deposited at higher substrate temperatures (Vajente et al. 2018) start with more medium-range order and correspondingly lower loss.

The implication is that TLS are not random single-atom defects but rather structural motifs associated with topological disorder at the 1–3 nm scale. Reducing their density requires improving the medium-range order of the amorphous network — either through thermal treatment or through deposition conditions that promote more ordered growth.

Quasi-localized vibrations and the soft potential model

Karpov, Klinger & Ignatiev (1983) and Buchenau et al. (1992) extended the tunneling model by seeking a physical justification for the flat distribution $P(\Delta, \lambda) = \text{const}$. Their soft potential model posits that some atoms sit in anharmonic potential wells described by a quartic potential:

\[V(x) = \eta x + \frac{1}{2}\xi x^2 + x^4\]

where $\eta$ and $\xi$ are random coefficients drawn from smooth distributions. For $\xi < 0$, this potential has two minima — it is a double well, and the system is a TLS. For $\xi > 0$, the potential has a single minimum but is softer than harmonic — these are quasi-localized vibrations (QLMs) that contribute to the boson peak (an excess in the vibrational density of states above the Debye prediction, observed near 1 THz in most glasses).

The soft potential model naturally produces:

  • A flat distribution of TLS parameters at low energies (recovering the STM)
  • Quasi-localized vibrations at higher energies, with a universal $\omega^4$ density of states (Lerner, Düring & Bouchbinder)
  • A connection between the boson peak and the tunneling anomalies — both arise from the same population of soft structural motifs

QLMs are spatially correlated with TLS sites but are physically distinct: QLMs are harmonic excitations (small oscillations in a soft single well), while TLS are intrinsically nonlinear (tunneling or hopping between two distinct configurations). The soft potential model suggests that TLS and QLMs are two manifestations of the same structural disorder, viewed at different energy scales.

The soft potential landscape: TLS, QLMs, and the boson peak

The soft potential model provides a unified picture of low-energy excitations in glasses:

At the lowest energies (below ~1 meV): The potential landscape is dominated by double-well configurations with small barriers. These are the tunneling TLS of the standard model. They give rise to the linear specific heat and $T^2$ thermal conductivity.

At intermediate energies (~1–10 meV): Both shallow double wells (thermally activated TLS) and soft single wells (quasi-localized vibrations) contribute. The crossover between tunneling and classical behavior occurs when $k_BT \sim V$ (barrier height).

At higher energies (~1–10 THz, the boson peak): The density of quasi-localized vibrations exceeds the Debye prediction, producing the excess in the vibrational density of states known as the boson peak. The universal $\omega^4$ density of states for QLMs (confirmed by simulations of many glass compositions) suggests a universal mechanism — the marginally stable nature of the amorphous solid.

The key insight is that all three regimes originate from the same structural disorder. Reducing the density of soft structural motifs — by improving medium-range order, increasing the connectivity of the network, or approaching the ideal glass state — should suppress TLS, QLMs, and the boson peak simultaneously.


Coupling to strain: how TLS produce mechanical loss

A TLS at position $\mathbf{r}$ couples to the local strain field $\epsilon$ through a deformation potential $\gamma$: the asymmetry energy shifts as $\Delta \to \Delta + 2\gamma\epsilon$. This strain coupling is what allows TLS to absorb energy from a mechanical oscillation and convert it to heat — the microscopic origin of mechanical loss.

Two distinct absorption mechanisms operate, dominant in different regimes:

Resonant absorption

At low temperatures (below ~1 K at audio frequencies), direct quantum absorption dominates. A phonon or acoustic wave at frequency $\omega$ is absorbed by a TLS with energy splitting $E = \hbar\omega$. The resulting contribution to the loss angle is (Phillips 1987):

\[\phi_\text{res} = \frac{\pi \bar{P} \gamma^2}{2\rho v^2} \tanh\!\left(\frac{\hbar\omega}{2k_BT}\right)\]

At $k_BT \gg \hbar\omega$ — which is always the case at room temperature and audio frequencies ($\hbar\omega \sim 10^{-13}$ eV at 100 Hz, $k_BT \sim 0.025$ eV at 300 K) — the $\tanh$ factor reduces to $\hbar\omega/2k_BT \sim 10^{-11}$, making resonant absorption utterly negligible compared to relaxation absorption.

Resonant absorption also saturates at high acoustic intensities: above a critical strain $\epsilon_c$, the TLS populations equalize and the absorption vanishes. This saturation — observed experimentally by driving acoustic resonators to high amplitudes at millikelvin temperatures — is a distinctive signature of quantum two-level systems and provides strong evidence for the tunneling model.

Cross-section of a coplanar microwave resonator showing TLS formation at substrate-vacuum, metal-substrate, and metal-vacuum interfaces
Cross-section of a coplanar microwave resonator showing TLS formation at different interfaces. The electric field concentrates at the gaps, where amorphous surface oxides host TLS. Different interface types (substrate-vacuum, metal-substrate, metal-vacuum) contribute distinct TLS populations. (Müller, Cole & Lisenfeld, Rep. Prog. Phys. 2019; Fig. 7)

Relaxation absorption

At room temperature, the dominant mechanism is relaxation absorption. The applied strain modulates the asymmetry energy $\Delta$, shifting the equilibrium populations of the two TLS states. The system relaxes back to equilibrium via phonon emission and absorption with a characteristic time $\tau$. This periodic perturbation and relaxation dissipates energy — the classic Debye relaxation mechanism.

The total loss angle from the TLS ensemble is (Phillips 1987, Gilroy & Phillips 1981):

\[\phi_\text{rel}(\omega) = \int \frac{\bar{P}\gamma^2}{\rho v^2} \, \operatorname{sech}^2\!\left(\frac{E}{2k_BT}\right) \frac{\omega\tau}{1+\omega^2\tau^2} \, d\Delta \, d\lambda\]

Each TLS with energy $E$ and relaxation time $\tau$ contributes a Debye relaxation peak centered at $\omega\tau = 1$. The $\operatorname{sech}^2$ factor weights the contribution by the TLS’s susceptibility to population change — only TLS with $E \sim k_BT$ contribute significantly.

Relaxation mechanisms

The relaxation rate $\tau^{-1}$ depends on how the TLS exchanges energy with the thermal bath:

Phonon-assisted tunneling (dominant at low temperatures): The TLS tunnels between wells by absorbing or emitting a phonon. The one-phonon relaxation rate is:

\[\tau^{-1} = \frac{\gamma^2 E^3}{2\pi\rho\hbar^4 v^5} \left(\frac{\Delta_0}{E}\right)^2 \coth\!\left(\frac{E}{2k_BT}\right)\]

This rate increases strongly with energy ($\propto E^3$) and depends on the tunneling element $\Delta_0/E$, meaning that TLS with small tunnel splittings relax slowly.

Thermally activated hopping (dominant at room temperature): At high enough temperatures, the system can hop classically over the barrier rather than tunneling through it. The hopping rate follows the Arrhenius law:

\[\tau^{-1} = \nu_0 \, e^{-V/k_BT}\]

where $\nu_0 \sim 10^{12}$–$10^{13}$ Hz is the attempt frequency (a typical phonon frequency). At room temperature and LIGO frequencies (10–1000 Hz), loss is dominated by thermally activated hopping of TLS with barrier heights $V \sim 0.3$–0.8 eV (Gilroy & Phillips 1981).

The structural damping limit

The broad distribution of barrier heights $V$ — guaranteed by the flat distribution $P(\Delta, \lambda)$ — produces a broad distribution of relaxation times $\tau$. When integrated over the full TLS ensemble, the individual Debye peaks merge into a nearly frequency-independent loss angle. This is the “structural damping” limit:

\[\phi \approx \frac{\pi \bar{P}\gamma^2}{2\rho v^2} \approx \text{const}\]

This approximate frequency independence — $\phi$ varies by less than a factor of 2 over several decades of frequency — is a direct consequence of the flat distribution of tunneling parameters. It explains the empirical observation that coating loss angles measured at very different frequencies (kHz ring-down vs. audio-band cavity measurement) give approximately consistent results.

One-phonon relaxation rate: key steps of the derivation
The one-phonon relaxation rate can be derived from Fermi’s golden rule. A TLS with eigenstates $ +\rangle$ and $ -\rangle$ separated by energy $E$ couples to the phonon field through the deformation potential. The transition rate from $ -\rangle$ to $ +\rangle$ (absorbing a phonon) is:
\[W_{-\to+} = \frac{\pi}{\hbar} \sum_{\mathbf{k},s} |\langle +| \hat{H}_\text{int} |-\rangle|^2 \, n(\omega_{\mathbf{k}s}) \, \delta(E - \hbar\omega_{\mathbf{k}s})\]

where $n(\omega) = (e^{\hbar\omega/k_BT} - 1)^{-1}$ is the Bose-Einstein distribution. The interaction Hamiltonian is $\hat{H}_\text{int} = \gamma \hat{\epsilon}(\mathbf{r})$, where $\hat{\epsilon}$ is the strain field operator.

The matrix element depends on the TLS parameters as $ \langle + \hat{H}_\text{int} -\rangle ^2 \propto \gamma^2 (\Delta_0/E)^2$, reflecting that tunneling transitions require the states to have nonzero overlap through the barrier.

Summing over all phonon modes (using the Debye density of states) and combining absorption and emission rates gives:

\[\tau^{-1} = W_{-\to+} + W_{+\to-} = \frac{\gamma^2 E^3}{2\pi\rho\hbar^4 v^5} \left(\frac{\Delta_0}{E}\right)^2 \coth\!\left(\frac{E}{2k_BT}\right)\]

The $E^3$ dependence comes from the phonon density of states ($\propto \omega^2$) and the coupling matrix element ($\propto E$). The $\coth$ factor accounts for both stimulated emission and absorption.


Should we believe the tunneling model?

The standard tunneling model (STM) has been the default framework for understanding amorphous solids for half a century. It deserves a serious assessment — what does it get right, where does it fail, and what would a better theory look like?

What the STM gets right

The STM’s successes are impressive and largely quantitative:

  1. Specific heat and thermal conductivity below 1 K. The linear $C(T)$ and quadratic $\kappa(T)$ are predicted with the correct magnitudes from a single parameter $\bar{P}\gamma^2/\rho v^2$, confirmed across dozens of materials (Pohl et al. 2002).

  2. Phonon mean free path. The resonant scattering cross-section of TLS for thermal phonons gives quantitatively correct predictions for the phonon mean free path at sub-kelvin temperatures (Phillips 1987).

  3. Logarithmic strain relaxation. After a step stress, amorphous solids relax logarithmically in time — a direct consequence of the exponentially broad distribution of relaxation times inherent in the flat distribution $P(\Delta, \lambda)$.

  4. Acoustic saturation. At high acoustic driving amplitudes, TLS populations equalize and the absorption decreases — observed experimentally and predicted quantitatively by the STM (Hunklinger & Arnold 1976).

  5. General scaling across materials. The dimensionless tunneling strength $C_\text{TLS}$ falls in a narrow range for chemically diverse glasses (Pohl et al. 2002), consistent with the STM’s material-independent structure.

What the STM gets wrong or cannot explain

The STM’s failures are at least as informative as its successes:

1. The universality puzzle. Why is $C_\text{TLS}$ nearly the same ($10^{-4}$–$10^{-3}$) across chemically unrelated glasses? The STM treats $\bar{P}$ and $\gamma$ as free parameters with no explanation for why their product $\bar{P}\gamma^2/\rho v^2$ is approximately universal. Leggett & Vural (J. Phys. Chem. B 117, 12966, 2013) argued that this universality is the strongest evidence that the standard non-interacting TLS model is incomplete — the universality must arise from collective effects, most likely TLS–TLS interactions mediated by the elastic strain field.

2. The interaction problem. The STM assumes non-interacting TLS. But TLS couple to the same phonon bath and acquire mutual dipolar interactions of order $\gamma^2/\rho v^2 r^3$, where $r$ is the separation between TLS. Burin & Kagan (JETP 80, 761, 1995) showed that these interactions produce spectral diffusion and $1/f$ noise. Whether the low-temperature “plateau” in acoustic attenuation is a property of individual TLS (as the STM assumes) or an emergent property of the interacting ensemble remains debated. The interacting-TLS picture is supported by observations of spectral diffusion in single-TLS experiments on superconducting qubits (Müller et al. 2019).

3. Leggett’s critique. Leggett argued (arXiv:1310.3387) that the original STM is not the unique explanation of low-temperature anomalies — alternative models with different microscopic assumptions can reproduce the same macroscopic predictions. He proposed specific “smoking-gun” tests that could distinguish the STM from alternatives. These tests remain largely unperformed for optical coating materials.

4. Anomalous frequency dependence. Gras & Evans (Phys. Rev. D 98, 122001, 2018) measured coating thermal noise in IBS tantala/silica coatings and found a power-law spectrum inconsistent with constant $\phi$ — the noise rolled off faster with frequency than the $1/f$ dependence expected from frequency-independent loss. This suggests that the distribution of relaxation times is not the flat distribution assumed by the STM, or that additional loss mechanisms beyond TLS relaxation contribute in the audio band.

5. Ultrastable glasses. Glasses prepared by vapor deposition onto substrates held just below $T_g$ — so-called ultrastable glasses — show dramatically suppressed TLS densities. Specific heat measurements at cryogenic temperatures (Perez-Castañeda et al., PNAS 111, 11275, 2014) found reductions of an order of magnitude or more compared to ordinary glasses of the same composition. This contradicts the STM’s implicit assumption that TLS density is an intrinsic property of the disordered state — it appears to depend strongly on preparation history and proximity to the ideal glass state.

6. Evidence from superconducting qubits. The quantum computing community has advanced the understanding of individual TLS in ways unavailable to the coatings community. Experiments on Josephson junctions with thin oxide barriers (Müller et al., Rep. Prog. Phys. 2019; Lisenfeld et al., Nature Comms. 2015) have:

  • Observed individual TLS as discrete quantum systems coupled to the qubit
  • Tracked their coherent quantum dynamics (Rabi oscillations, Ramsey fringes)
  • Tuned individual TLS with applied electric fields and strain
  • Observed coherent TLS–TLS interactions — direct evidence that the non-interacting assumption breaks down

These experiments confirm that TLS exist as discrete quantum two-level systems — validating the core picture of the STM — but also reveal physics (coherent interactions, strain tunability, spectral diffusion) that goes beyond the standard non-interacting model.

Strain-spectroscopy of individual TLS using a superconducting qubit showing resonances, avoided level crossings, and telegraphic switching
Strain-spectroscopy of individual TLS using a superconducting qubit. Dark traces show TLS resonances tuned by mechanical strain. Mutual TLS interactions appear as avoided level crossings (i), non-hyperbolic traces (ii), and telegraphic switching (circles). Inset: the qubit chip is bent with a piezo actuator. (Müller, Cole & Lisenfeld, Rep. Prog. Phys. 2019; Fig. 6)

Assessment

The tunneling model is a powerful phenomenological framework — the best we have — but it is almost certainly incomplete. It correctly identifies the class of excitation (localized tunneling defects with a broad distribution of parameters) but offers no explanation for universality, ignores interactions, and makes no material-specific predictions. For the practical goal of reducing coating loss, the STM tells us what to minimize ($\bar{P}\gamma^2$) but not how.


Temperature and frequency landscape

The mechanical loss of an amorphous solid is not a single number — it depends on temperature, frequency, and the interplay between them. The following table synthesizes the picture from Phillips (1987) and Pohl et al. (2002):

Regime Temperature Dominant mechanism $\phi$ behavior
Quantum tunneling plateau $T < 1$ K Resonant phonon absorption by TLS $\phi \approx \pi\bar{P}\gamma^2/2\rho v^2$ (approximately constant)
One-phonon relaxation 1–10 K Phonon-assisted tunneling between TLS states $\phi$ increases; loss peaks possible
Thermally activated relaxation 10–300 K Classical hopping over barriers $\phi(T)$ depends on barrier-height distribution
Structural damping (LIGO band) ~300 K, 10–1000 Hz Broad superposition of thermally activated relaxors $\phi \approx$ constant (weakly frequency-dependent)
Spectral diffusion of TLS: telegraphic switching of resonance frequency and thermal fluctuator mechanism
Spectral diffusion of TLS. (a) Telegraphic switching and drifting of a TLS resonance frequency observed via microwave spectroscopy. (b) The mechanism: TLS 1 interacts with a nearby thermal fluctuator (TLS 2) whose random state-switching modulates TLS 1's energy and relaxation rate. (Müller, Cole & Lisenfeld, Rep. Prog. Phys. 2019; Fig. 4)

The key insight for LIGO

At room temperature, the TLS that dominate mechanical loss are not the quantum tunneling defects that dominate below 1 K. They are thermally activated hopping defects with barrier heights of 0.3–0.8 eV and typical relaxation times that place them in the audio-frequency band at 300 K.

This distinction has practical consequences: cryogenic measurements of tunneling TLS density (from specific heat or acoustic attenuation below 1 K) do not directly predict room-temperature coating loss. The two regimes probe different subsets of the double-well population — the tunneling TLS are low-barrier defects ($V \sim$ meV), while the room-temperature loss is produced by much higher barriers ($V \sim 0.3$–0.8 eV) that are classically inaccessible at low temperatures.

The crossover between the tunneling regime and the thermally activated regime occurs at roughly $T^* \sim V/k_B \ln(\nu_0/\omega)$. For $V = 0.5$ eV and $\omega/2\pi = 100$ Hz, this gives $T^* \sim 250$ K — confirming that at room temperature, the relevant TLS are firmly in the classical hopping regime.

Why $\phi$ is approximately frequency-independent at room temperature

The frequency independence of the loss angle at room temperature follows from the broad distribution of barrier heights. Each TLS with barrier $V$ has a relaxation rate $\tau^{-1} = \nu_0 e^{-V/k_BT}$ and contributes a Debye relaxation peak to the loss: $\phi_V(\omega) \propto \omega\tau/(1 + \omega^2\tau^2)$, which is sharply peaked at $\omega = \tau^{-1}$.

The distribution of barriers transforms into a distribution of relaxation times. If $P(V) \approx$ const (the flat distribution), then the density of relaxation times per decade is also approximately constant: $g(\ln\tau) \approx$ const. Each decade of $\tau$ contributes a Debye peak at a different frequency. The superposition of these peaks — one for each decade of relaxation time — fills in the frequency response and produces a total loss that varies logarithmically (at most) with frequency.

More precisely, integrating the Debye relaxation over a flat distribution of $\ln\tau$ from $\tau_\text{min}$ to $\tau_\text{max}$ gives:

\[\phi(\omega) \propto \int_{\ln\tau_\text{min}}^{\ln\tau_\text{max}} \frac{\omega\tau}{1+\omega^2\tau^2} \, d(\ln\tau) = \arctan(\omega\tau_\text{max}) - \arctan(\omega\tau_\text{min})\]

For $\tau_\text{min} \ll 1/\omega \ll \tau_\text{max}$, both arctangent terms approach their limits and $\phi(\omega) \approx \pi/2$ times the proportionality constant — independent of $\omega$. The frequency independence holds as long as the measurement frequency falls within the broad band of relaxation times, which at room temperature spans many decades.


TLS in thin films vs. bulk glasses

Thin films deposited by ion-beam sputtering (IBS) — the standard technique for LIGO mirror coatings — are not simply thin pieces of bulk glass. Several factors make their TLS physics qualitatively different:

Deposition far from equilibrium

IBS films are formed by energetic ion bombardment at roughly 100 eV per arriving atom. The resulting amorphous network is far from thermodynamic equilibrium — more strained, less structurally relaxed, and with higher TLS density than a melt-quenched bulk glass of the same nominal composition. The effective quench rate in IBS deposition is many orders of magnitude faster than conventional glass formation, producing a higher-energy amorphous state with more structural disorder.

Substrate clamping and residual stress

The film is rigidly bonded to a crystalline substrate (fused silica or silicon). Differential thermal contraction between the film and substrate during post-deposition cooling creates biaxial residual stress — typically 100–500 MPa (compressive or tensile, depending on the deposition conditions and thermal history) for IBS tantala on fused silica.

This residual stress modifies the double-well potential landscape in two ways: it shifts the asymmetry energies $\Delta$ of existing TLS (through the deformation potential coupling), and it can create or destroy TLS by tilting borderline double wells into single wells or vice versa. The dependence of coating loss on residual stress is an active area of investigation.

Interface effects

Each layer boundary in a multilayer stack (HR coatings typically have 18–40 layers) is a source of structural discontinuity. The interfacial region — extending roughly 1–2 nm on each side of the boundary — has different atomic coordination and density than the bulk of either layer. These interfaces may contribute an enhanced TLS density proportional to the number of layers, though separating interfacial from bulk contributions experimentally remains challenging.

Medium-range order deficit

IBS films typically have less medium-range order than bulk glass of the same composition, evidenced by broader Raman vibrational features and less structured X-ray pair distribution functions. Vajente et al. (2018) showed that depositing tantala at elevated substrate temperature (up to 500°C) increases medium-range order — as evidenced by sharper Raman peaks — and correspondingly reduces mechanical loss. The film deposited at higher temperature approaches a more relaxed amorphous state, closer to what would be obtained by conventional melt-quenching.

The annealing–crystallization knife edge

Post-deposition annealing (typically 400–600°C for tantala-based coatings) is the standard route to reducing TLS density after deposition. The thermal energy allows structural relaxation — atoms rearrange toward lower-energy configurations, medium-range order increases, and the density of metastable double wells decreases.

But there is a limit. Aggressive annealing — above roughly 600°C for undoped tantala — nucleates nanocrystals within the amorphous matrix. These crystallites create density fluctuations that scatter light, increasing optical loss. Smith et al. (2021) characterized this trade-off systematically, showing that the optimal anneal temperature sits on a knife edge between minimizing mechanical loss and avoiding crystallization-induced scatter.

Doping with TiO₂ or ZrO₂ raises the crystallization temperature by disrupting the tantala network’s tendency to order, extending the accessible annealing window. This is why TiO₂-doped tantala (TiO₂:Ta₂O₅) has become the baseline for Advanced LIGO+ — the dopant allows more aggressive annealing without crystallization, achieving lower loss than undoped tantala.


The 100× challenge: can we reach $\phi \sim 4 \times 10^{-6}$?

The loss angle of the current LIGO coating is $\phi \sim 4 \times 10^{-4}$. Coating thermal noise currently prevents LIGO from exploiting beyond-squeezing quantum techniques (such as speed meters or variational readout) that could improve 4-km detectors by an order of magnitude — the coating noise floor would swallow the quantum gain. Reducing $\phi$ by two orders of magnitude would unlock these techniques, dramatically improving sensitivity without building longer arms. Where does each candidate technology stand?

Material $\phi$ (room temp) Factor vs. target
Undoped Ta₂O₅ (IBS) $\sim 4 \times 10^{-4}$ ~100× above
TiO₂:Ta₂O₅ (IBS, annealed) $\sim 2 \times 10^{-4}$ ~50× above
SiO₂ (IBS) $\sim 5 \times 10^{-5}$ ~12× above
a-Si:H (optimized) $\sim 3 \times 10^{-5}$ ~7× above
AlGaAs crystalline Intrinsic: $\sim 4 \times 10^{-5}$* excess noise
GaP/AlGaP (12 K) $\sim 1.4 \times 10^{-5}$ ~3× above
Silicon substrate $\sim 10^{-8}$ ~0.003×
Target $4 \times 10^{-6}$
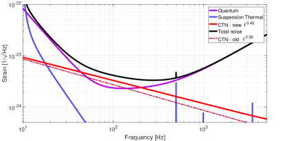
Advanced LIGO noise budget showing coating thermal noise with anomalous frequency slope near f to the minus 0.45
Advanced LIGO noise budget incorporating measured coating thermal noise (CTN). The new measurement gives a higher CTN value and a frequency slope near f−0.45, deviating from the previously assumed f−0.5. This reduces the expected binary neutron star range by 7%. (Gras & Evans, Phys. Rev. D 2018; Fig. 4)

*AlGaAs coating loss predicted from ring-down is φ ≈ 4.8 × 10⁻⁵ (Penn et al. 2019), consistent with direct thermal noise measurements φ ≈ (4±4) × 10⁻⁵ (Cole et al. 2016). However, measured optical cavity noise exceeds this prediction — excess noise of unknown origin and birefringence noise dominate (Yu et al. 2023, Gupta 2023).

Optical path length noise in AlGaAs crystalline coatings at 124 K, 16 K, and 4 K showing excess noise above predicted Brownian thermal noise
Optical path length noise in AlGaAs crystalline coatings at 124 K, 16 K, and 4 K. Single-polarization noise (orange) exceeds the predicted coating Brownian thermal noise (green) by up to two orders of magnitude. Polarization-averaging (red) removes birefringent noise but reveals a residual global excess noise of unknown origin. (Yu et al., Phys. Rev. X 2023; Fig. 5)

Strategy A: Perfect the amorphous approach

Push TiO₂:Ta₂O₅ further via extreme annealing, crystallization-resistant dopants, hot-substrate deposition, or novel IBS conditions. Realistic floor: perhaps $5 \times 10^{-5}$ — an order of magnitude from target. The fundamental problem is that amorphous materials must contain TLS by virtue of their disordered structure — the density can be reduced but not eliminated.

Ultrastable glass preparation (vapor deposition near $T_g$) suppresses TLS dramatically in bulk samples, but this technique has not been adapted to produce optical-quality thin films with the thickness uniformity and low scatter required for LIGO mirrors.

Strategy B: Fix crystalline coatings

AlGaAs crystalline coatings promised intrinsically low loss from their periodic lattice structure, but delivered excess noise well above predictions from the loss angle (Yu et al. 2023). The excess noise has a spatial correlation length of at least 1 mm (Yu et al. 2023) — it may originate from semiconductor defects and impurities within the coating, or from electro-optic coupling to charge fluctuations (Yu et al. 2023). If the excess noise can be eliminated (through cleaner epitaxial growth, improved bonding, or dual-frequency locking to cancel birefringent noise (Yu et al. 2023, Appendix B)), crystalline coatings could reach $10^{-5}$ or below.

Strategy C: Epitaxial III-V on silicon

GaP/AlGaP is lattice-matched to silicon to within 0.37%, enabling direct epitaxial growth on Si substrates without the transfer bonding step required for AlGaAs (Cole et al., Opt. Mater. Express 5, 1890, 2015). Measured loss angles of $\phi \approx 1.4 \times 10^{-5}$ at 12 K for 10-pair stacks are promising (Cole et al. 2015; Cumming et al., CQG 32, 035002, 2015). At room temperature, $\phi$ is expected to be significantly higher due to thermally activated defects, but published measurements are only available at cryogenic temperatures.

Key advantage: scalable to LIGO mirror sizes (34 cm diameter) because the film is grown directly on the silicon optic. Gap to target: roughly 10–25× at room temperature, possibly 3× at 123 K (LIGO Voyager’s operating temperature). This is one of the most promising near-term paths.

Strategy D: Cryogenic operation

Coating thermal noise scales as $\sqrt{T \cdot \phi(T)}$. Cooling from 300 K to 123 K reduces the $\sqrt{T}$ prefactor by 1.6×, and $\phi(T)$ decreases with temperature for most coating materials. Combined with a low-loss material like GaP/AlGaP (expected $\phi \sim 10^{-5}$ at 123 K), cryogenic operation could reach within 2–3× of the target.

This is the strategy adopted by LIGO Voyager: silicon test masses at 123 K, combined with the best available coating technology at that temperature.

Strategy E: Multi-material and nanolayer engineering

Integrating thin layers of low-loss materials (such as a-Si with $\phi \sim 3 \times 10^{-5}$) into SiO₂/Ta₂O₅ stacks reduces the thickness-weighted average loss. Tait et al. (PRL 125, 011102, 2020) demonstrated the concept. Nanolayer composites from TNO/University of Twente — alternating amorphous layers at roughly 1 nm individual thickness — may suppress TLS by constraining structural rearrangements at interfaces, but measured loss angles are not yet competitive with the best single-material films.

Strategy F: What would a breakthrough look like?

Reaching $4 \times 10^{-6}$ requires either:

  1. A crystalline coating with no excess noise — perhaps GaP/AlGaP with defect-free epitaxy, combined with cryogenic operation at 123 K.
  2. An amorphous material with intrinsically low TLS density — an “ultrastable thin film” deposited under conditions that approximate the ideal glass state. No one has demonstrated this for optical coatings.
  3. A fundamentally different approach — photonic crystal mirrors that achieve high reflectivity without thick amorphous layers (demonstrated in principle but far from LIGO requirements), or suspended membrane reflectors that decouple the optical function from the mechanical substrate.

The honest assessment: A 10× reduction from the current best amorphous coatings ($5 \times 10^{-5}$ → $5 \times 10^{-6}$) is at the edge of plausibility with known materials and techniques. A full 100× from undoped tantala requires combining multiple strategies — better materials + cryogenics + optimized stack design — and likely a new material platform altogether.


Connections to other fields

Superconducting qubits

TLS in Josephson junction oxide layers are the primary decoherence source for superconducting quantum processors. The same physics operates at ~GHz frequencies and ~20 mK temperatures. The qubit community has a capability LIGO researchers lack: they can observe, address, and manipulate individual TLS — tracking their coherent dynamics, measuring TLS–TLS interactions, and tuning them with electric fields (Müller et al. 2019, Lisenfeld et al. 2015). These single-TLS experiments provide the most direct microscopic tests of the tunneling model.

Optical frequency standards

Coating Brownian noise limits the frequency stability of optical reference cavities used to stabilize lasers for optical atomic clocks — currently the most precise measurement devices, reaching fractional frequency instabilities below 10⁻¹⁸. The same coating materials (tantala/silica) and the same physics (TLS relaxation) set the noise floor. Every advance in low-noise coatings for gravitational-wave detectors directly benefits the precision timekeeping community.

Cryogenic particle detectors

Bolometers and transition-edge sensors used for dark matter direct detection (CDMS, CRESST) and cosmic microwave background polarimetry (Simons Observatory, CMB-S4) are limited by TLS noise in their absorber and structural materials at millikelvin temperatures. These experiments operate in the resonant-absorption regime where the STM's predictions are most quantitatively tested — and where the quantum nature of individual TLS is directly observable through saturation and noise spectroscopy.

The glass transition problem

Understanding TLS connects to one of condensed matter's grand challenges: why do liquids form glasses, and what is the structure of the amorphous state? The universal properties of TLS suggest that something fundamental about the topology of the potential energy landscape of disordered solids forces the existence of low-energy two-level excitations. If this could be understood from first principles — why the tunneling strength is universal, why TLS density is insensitive to chemistry — it would illuminate not only coating thermal noise but the nature of the glassy state itself.


Key references

Foundational:

  • H. B. Callen and T. A. Welton, “Irreversibility and Generalized Noise,” Phys. Rev. 83, 34 (1951). — The fluctuation-dissipation theorem connecting mechanical dissipation to thermal noise.
  • R. C. Zeller and R. O. Pohl, “Thermal conductivity and specific heat of noncrystalline solids,” Phys. Rev. B 4, 2029 (1971). — First systematic low-temperature measurements in amorphous solids.
  • P. W. Anderson, B. I. Halperin, and C. M. Varma, “Anomalous low-temperature thermal properties of glasses and spin glasses,” Phil. Mag. 25, 1 (1972). — Independent proposal of the tunneling model.
  • W. A. Phillips, “Tunneling states in amorphous solids,” J. Low Temp. Phys. 7, 351 (1972). — Independent proposal of the tunneling model.
  • K. S. Gilroy and W. A. Phillips, “An asymmetric double-well potential model for structural relaxation processes in amorphous materials,” Phil. Mag. B 43, 735 (1981). — Extension to thermally activated relaxation.
  • S. Hunklinger and W. Arnold, “Ultrasonic properties of glasses at low temperatures,” in Physical Acoustics Vol. 12 (Academic Press, 1976), pp. 155–215. — Acoustic saturation experiments confirming TLS predictions.

Reviews:

  • W. A. Phillips, “Two-level states in glasses,” Rep. Prog. Phys. 50, 1657 (1987). — Comprehensive review of the tunneling model and its predictions.
  • R. O. Pohl, X. Liu, and E. Thompson, “Low-temperature thermal conductivity and acoustic attenuation in amorphous solids,” Rev. Mod. Phys. 74, 991 (2002). — Universality across >60 compositions; the tunneling strength compilation.
  • P. Esquinazi (ed.), Tunneling Systems in Amorphous and Crystalline Solids (Springer, 1998). — Comprehensive reference volume.
  • C. Müller, J. H. Cole, and J. Lisenfeld, “Towards understanding two-level-systems in amorphous solids: insights from quantum circuits,” Rep. Prog. Phys. 82, 124501 (2019). — TLS from the quantum computing perspective; single-TLS experiments.
  • J. Lisenfeld et al., “Observation of directly interacting coherent two-level systems in an amorphous material,” Nature Communications 6, 6182 (2015). — Direct observation of coherent TLS–TLS interactions.

Microscopic mechanisms:

  • T. Damart and D. Rodney, “Atomistic study of two-level systems in amorphous silica,” Phys. Rev. B 97, 014201 (2018). — Atomistic identification of TLS in simulated amorphous SiO₂.
  • U. Buchenau et al., “Interaction of soft modes and sound waves in glasses,” Phys. Rev. B 46, 2798 (1992). — Soft potential model and quasi-localized vibrations.
  • V. G. Karpov, M. I. Klinger, and F. N. Ignatiev, “Theory of the low-temperature anomalies in the thermal properties of amorphous structures,” Sov. Phys. JETP 57, 439 (1983). — The soft potential model.
  • E. Lerner, G. Düring, and E. Bouchbinder, “Statistics and properties of low-frequency vibrational modes in structural glasses,” Phys. Rev. Lett. 117, 035501 (2016). — Universal $\omega^4$ density of states for quasi-localized modes.
  • A. J. Leggett and D. C. Vural, “‘Tunneling two-level systems’ model of the low-temperature properties of glasses: Are ‘ichthyosaur’ models consistent with the universal low-temperature properties of glasses?” J. Phys. Chem. B 117, 12966 (2013). — Analysis of the universality puzzle.

LIGO coatings:

  • G. M. Harry et al., “Thermal noise in interferometric gravitational wave detectors due to dielectric optical coatings,” Class. Quantum Grav. 19, 897 (2002). — Identification of coating thermal noise as dominant.
  • S. D. Penn et al., “Mechanical loss in tantala/silica dielectric mirror coatings,” Class. Quantum Grav. 20, 2917 (2003). — Tantala loss angle measurement and bulk/shear framework.
  • I. Martin et al., “Measurements of a low-temperature mechanical dissipation peak in a single layer of Ta₂O₅ doped with TiO₂,” Class. Quantum Grav. 25, 055005 (2008). — Low-temperature loss peak near 40 K in tantala.
  • G. Vajente et al., “Effect of elevated substrate temperature deposition on the mechanical losses in tantala thin film coatings,” Class. Quantum Grav. 35, 075001 (2018). — Hot-substrate deposition and medium-range order correlation.
  • B. Prasai et al., “High Precision Detection of Change in Intermediate Range Order of Amorphous Zirconia-Doped Tantala Thin Films Due to Annealing,” Phys. Rev. Lett. 123, 045501 (2019). — Intermediate-range order changes in tantala coatings with annealing.
  • J. R. Smith et al., “In-vacuum measurements of optical scatter versus annealing temperature for amorphous Ta₂O₅ and TiO₂:Ta₂O₅ thin films,” J. Opt. Soc. Am. A 38, 534 (2021). — Annealing–crystallization trade-off in tantala coatings.
  • S. Gras and M. Evans, “Direct measurement of coating thermal noise in optical resonators,” Phys. Rev. D 98, 122001 (2018). — Anomalous frequency dependence in IBS coatings.
  • S. C. Tait, J. Steinlechner, M. M. Kinley-Hanlon, et al., “Demonstration of the multimaterial coating concept to reduce thermal noise in gravitational-wave detectors,” Phys. Rev. Lett. 125, 011102 (2020). — Multi-material coating concept.
  • G. D. Cole et al., “High-performance near- and mid-infrared crystalline coatings,” Optica 3, 647 (2016); G. D. Cole et al., “Epitaxial growth of GaP/AlGaP mirrors on Si for low thermal noise optical coatings,” Opt. Mater. Express 5, 1890 (2015). — Crystalline coating development and GaP/AlGaP epitaxial growth on silicon.
  • S. D. Penn, M. M. Kinley-Hanlon, et al., “Mechanical ringdown studies of large-area substrate-transferred GaAs/AlGaAs crystalline coatings,” J. Opt. Soc. Am. B 36, C15 (2019). — Ring-down measurement of AlGaAs bulk and coating loss.
  • A. V. Cumming et al., “Measurement of the mechanical loss of prototype GaP/AlGaP crystalline coatings for future gravitational wave detectors,” Class. Quantum Grav. 32, 035002 (2015). — GaP/AlGaP loss measurements at cryogenic temperatures.
  • J. Yu et al., “Excess noise and photo-induced effects in highly reflective crystalline mirror coatings,” Phys. Rev. X 13, 041002 (2023). — Excess noise and birefringence noise in AlGaAs.
  • A. Gupta, “Next-Generation Technologies for Gravitational Wave Detectors,” PhD thesis, California Institute of Technology (2023). — Comprehensive characterization of crystalline coating noise.